-
Effect of nanoparticle additivation on the microstructure and microhardness of oxide dispersion strengthened steels produced by laser powder bed fusion and directed energy deposition
2021/02/17
New publication: In this contribution, the effect of nanoparticle additivation on the microstructure and microhardness of oxide dispersion strengthened steels (ODS) manufactured by laser powder bed fusion (L-PBF) and directed energy deposition (DED) additive manufacturing (AM) is studied.
-
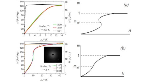
Correlating changes of the unit cell parameters and microstructure with magnetic properties in the CeFe11Ti compound
2021/02/16
New publication: The criticality of rare-earth elements and its impact on the permanent magnet market have initiated a search for alternative material systems, either to fill the magnetic performance gap between ferrites and Nd-Fe-B magnets or to even replace the existing benchmark systems.
-
An accelerating approach of designing ferromagnetic materials via machine learning modeling of magnetic ground state and Curie temperature
2021/02/16
New publication: Magnetic materials have a plethora of applications from information technologies to energy harvesting. However, their functionalities are often limited by the magnetic ordering temperature.
-
Combined kinetic and Bean–Rodbell approach for describing fieldinduced transitions in LaFe11.6Si1.4 alloys
2021/02/16
New publication: We propose a combination of the Kolmogorov–Johnson–Mehl–Avrami nucleation and growth theory and the Bean–Rodbell model to describe the field-induced transition in LaFe11.6Si1.4 alloys.
-
A two-sublattice model for extracting rare-earth anisotropy constants from measurements on (Nd,Ce)2(Fe,Co)14B single crystals
2021/02/16
New publication: Anisotropy constants are obtained from an analysis of single crystal magnetization curves measured up to high fields.
-
Microstructure formation and mechanical properties of ODS steels built by laser additive manufacturing of nanoparticle coated iron-chromium powders
2021/01/12
New publication: Oxide dispersion strengthened (ODS) steels are known for their enhanced mechanical performance at high temperatures or under radiation exposure. Their microstructure depends on the manufacturing process, from the nanoparticle addition to the base steel powder, to the processing of the nanoparticle enriched powder.
-
Demonstrator 2020 – Electric Motor
2020/12/31
Junior HoMMage builds Electric Motor
Permanent magnets are the key for efficient electric motors and generators, are essential for electromobility and wind turbines. 95% of all electric vehicles use rare earth magnet drive motors, permanent magnet quantities required worldwide will grow from 5,000 tonnes in 2019 to 40,000 – 70,000 tonnes per year by 2030.
-
Nutation resonance in ferromagnets
2020/12/09
New publication: The inertial dynamics of magnetization in a ferromagnet is investigated theoretically. The analytically derived dynamic response upon microwave excitation shows two peaks: ferromagnetic and nutation resonances.
-
Salon on machine learning for materials science (ML4MS) organized by Prof. Zhang
2020/12/02
-
Controlling the Oxidation of Magnetic and Electrically Conductive Solid-Solution Iron-Rhodium Nanoparticles Synthesized by Laser Ablation in Liquids
2020/11/30
Joined publication of the projects B08, B09, B05 and Z02
This study focuses on the synthesis of FeRh nanoparticles via pulsed laser ablation in liquid and on controlling the oxidation of the synthesized nanoparticles.
-
Joint Equal Opportunities Day (“Gleichstellungstag”) of 4 CRCs
2020/11/24
Wir brauchen positive Rollenvorbilder!
-
Beyond Solid Solution High‐Entropy Alloys: Tailoring Magnetic Properties via Spinodal Decomposition
2020/11/16
Since its first emergence in 2004, the high‐entropy alloy (HEA) concept has aimed at stabilizing single‐ or dual‐phase multi‐element solid solutions through high mixing entropy.
-
Picture: © DFG / David Ausserhofer
Picture: © DFG / David AusserhoferGottfried Wilhelm Leibniz-Preis 2020 for Baptist Gault (Z01)
2020/11/09
-
Picture: Dr. S. Ener, Dr. F. Scheibel, Functional Materials, TU Darmstadt
Picture: Dr. S. Ener, Dr. F. Scheibel, Functional Materials, TU DarmstadtMagnetism as Art Showcase for MMM 2020
2020/10/27
Nature shows its artful side
Dr. Semih Ener and Dr. Franziska Scheibel contribute with the pictures 9 – Magnetic Domains of a Twinned Grain and 12 – Magnetic Dice. https://www.facebook.com/MMMConference/
-
Tailoring magnetocaloric effect in all-d-metal Ni-Co-Mn-Ti Heusler alloys: a combined experimental and theoretical study
2020/10/26
Joint publication in Acta Materialia by a team of our CRC/TRR HoMMage, ERC Cool Innov and Helmholtz-RSF Joint Research Group
Novel Ni-Co-Mn-Ti all-d-metal Heusler alloys are exciting due to large multicaloric effects combined with enhanced mechanical properties. We show that an optimized heat treatment leads to very sharp phase transitions in bulk alloys with large isothermal entropy changes.
-
Picture: B. Gault, Max-Planck-Institut für Eisenforschung
Picture: B. Gault, Max-Planck-Institut für EisenforschungNew Max Planck Research Group headed by Prof. Oliver Gutfleisch to study magnets as key materials for green energy
2020/10/21
New collaboration between TU Darmstadt and Max-Planck-Institut für Eisenforschung (MPIE)
The Technical University of Darmstadt and the Max-Planck-Institut für Eisenforschung (MPIE) started a new Max Planck Research Group headed by Prof. Oliver Gutfleisch, Professor of Functional Materials at the TU Darmstadt and scientific director at the Fraunhofer IWKS Materials Recycling and Resource Strategies.
-
Induction of uniaxial anisotropy by controlled phase separation in Y-Co thin films
2020/09/30
New publication: In this study, molecular beam epitaxy is utilized to stabilize a nanostructured thin-film magnet consisting of a soft magnetic Y2Co17 exchange coupled to hard magnetic YCo5. While, typically, a phase decomposition can be obtained in rare-earth cobalt systems only by the addition of further elements like Cu, Fe, and Zr and complex heat treatments, here we directly induce phase separation by growth kinetics.
-
Experimental and theoretical investigation of the chemical exfoliation of Cr-based MAX phase particles
2020/09/30
New publication: Two-dimensional carbides/nitrides, typically called MXenes, are an emerging member of the ever-growing family of two-dimensional materials. The prediction of a ferromagnetic groundstate in chromium-containing MXenes has triggered growing interest in their chemical exfoliation from Cr-based MAX phases. However, the exfoliation poses serious difficulties using standard etching agents such as hydrofluoric acid (HF). Here, we investigate the exfoliability of Cr2GaC particles by chemical etching with aqueous HF both experimentally and theoretically.
-
Giant voltage-induced modification of magnetism in micron-scale ferromagnetic metals by hydrogen charging
2020/09/25
New publication: Owing to electric-field screening, the modification of magnetic properties in ferromagnetic metals by applying small voltages is restricted to a few atomic layers at the surface of metals.
-
Nanocrystalline Sm-based 1:12 magnets
2020/09/25
New publication: Recently 1:12 magnets of Sm-(Fe,V) have shown promising coercivities and the potential to be alternative rare-earth-lean permanent magnets.